Per fortuna che c’è Pierluigi Bersani che “vive nelle caverne” a portare il buon umore.
In merito al disastro dell’INPS, dopo il crash del sito e l’esposizione dei dati degli utenti, quando in tanti hanno richiesto il bonus Coronavirus, nell’ultima puntata Di Martedì di Giovanni Floris su La 7 ha benedetto così i tecnici dell’ente. Bersani: “E ringraziamo anche chi ci sta lavorando attorno notte e giorno col cacciavite nei computer (riferendosi all’INPS, ndr)”. Potete ascoltarlo al minuto 01.18 del Video
Bersani e i cacciaviti from Anubi on Vimeo.
Una metafora cristallina nella mente del deputato.
In Commissione Bilancio del Senato il governo che Bersani appoggia ha bocciato la proposta di detassare il 70% dello stipendio di medici, infermieri e personale sanitario che stanno morendo in prima linea contro il Coronavirus. Almeno così il salario sarebbe aumentato di poco. In fondo provano solo a salvarci la vita.
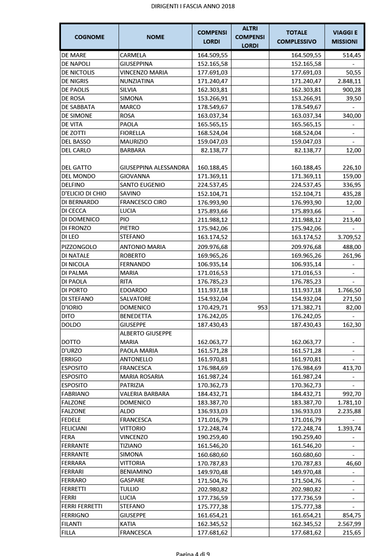
Ringraziamo invece i dirigenti INPS, di cui una quarantina di prima fascia a 240.000 euro annui cadauno e altri, circa 450 di seconda fascia, a qualche migliaia di euro in meno (escluso eccezioni) che hanno gestito così brillantemente questa fase. Sono un piccolo parlamento. Hanno suscitato la pietà di Pornhub, sito di intrattenimento porno, i cui dipendenti si sognano gli stipendi dell’INPS e fanno questi numeri: nel 2019 Pornhub ha avuto 42 miliardi di visite, 120 milioni al giorno, 11 milioni di video caricati e durante la quarantena le visite al sito sono aumentate fino al 25%. Per loro ordinaria amministrazione. Noi per soli 5 milioni di accessi andiamo in tilt ma diamo stipendi simili a quelli dei giudici della Corte Suprema degli Stati Uniti d’America che però sono solo in 7.
Gli stipendi dei dirigenti INPS sono pubblicati on line tra le pieghe del sito con riferimento al 2018 e li trovate a fine articolo. Ma bisogna aggiungere al costo quello dell’infrastruttura informatica dell’INPS: 336 milioni di euro dal 2005 al 2018. Il 15 aprile scorso si è tenuto il Cda dell’INPS da cui non sono usciti sostanziali cambiamenti nell’organigramma dell’ente di previdenza. Forse perché siamo ancora nell’era dei “cacciaviti d’oro” di Bersani che si fanno ridere dietro da quelli dell’era digitale. Da Pornhub ci hanno confermato che il twitt di offerta di aiuto all’INPS è vero e non è un fake. L’INPS non ha risposto all’offerta dei professionisti ma ha dato la colpa agli hacker che però con Anonymous Italia hanno risposto con un altro twitt:
Caro @INPS_it, vorremmo prenderci il merito di aver buttato giù il vostro sito web, ma la verità è che siete talmente incapaci che avete fatto tutto da soli, togliendoci il divertimento! #INPS #Hacked #Anonymous #LulzSecITA #GDPR
Per noi italiani è normale che i politici e i dirigenti non rispondano delle cazzate che dicono e fanno.Ma davanti a tutto questo è evidente che non basta solo applaudire i medici e gli operatori sanitari mentre muoiono in prima linea per noi.
LEGGI TUTTI GLI STIPENDI DEI DIRIGENTI INPS, CENTINAIA DI DIRIGENTI









